- Spectroscopy-05-01-2020
- Volume 35
- Issue 5
Advances in Trace Element Solid Sample Analysis: Laser Ablation Laser Ionization TOF Mass Spectrometry (LALI-TOF-MS)
Recent advances in laser ablation laser ionization TOF mass spectrometry (LALI-TOF-MS) are allowing laboratories to reach required limits of quantitation for trace impurities in solid materials by direct analysis, while avoiding common limitations of other techniques.
The most widely used commercial techniques for solid sample analysis include laser induced breakdown spectroscopy (LIBS), arc/spark optical emission spectrometry (OES), X-ray fluorescence (XRF), and laser ablation coupled with inductively coupled plasma−mass spectrometry (LA-ICP-MS). Each technique has known limitations, including matrix suppression, diffusion and transport effects, spectral overlaps, and varying degrees of calibration challenges. Also, many laboratories determining trace impurities in solid materials are unable to reach the required limits of quantitation by direct analysis, so they must digest the samples and use a technique like ICP-MS. Recent advances in laser ablation laser ionization (LALI) have reduced many drawbacks that plague other techniques, simplifying solid sample analysis. This column examines the LALI technique coupled with time-of-flight (TOF) mass spectrometry and compares application figures of merit with other, more traditional approaches of analyzing solid materials.
Laser ablation laser ionization, coupled with time-of-flight (TOF) mass spectrometry (LALI-TOF-MS), is a brand new development that offers virtually the entire periodic table of the elements simultaneously at MS detection limits. LALI-TOF-MS has applicability to all trace element applications that require direct analysis of solid samples. LALI avoids sample digestion procedures and bypasses limitations such as matrix suppression effects, polyatomic spectral interferences, and signal instability that are exhibited in ICP-MS and other solution techniques.
At the heart of LALI-TOF-MS are two lasers; a sample chamber with ion source that is already under vacuum, and a time-TOF mass spectrometer. The dual-laser technology extracts and subsequently ionizes material in two discrete steps; first, ablation of the sample material, and then, ionization of the ablated material. The generated ions are then sampled into a TOF mass spectrometer for separation, identification, and quantification.
Historically, LALI has been referred to by numerous acronyms in the literature, including surface analysis laser ionization (SALI) (1,2), laser desorption and ionization (LDI) (3,4), two-step laser mass spectrometry (L2MS) (5), and laser desorption laser post-ionization time-of-flight mass spectrometry (LD-LPI-TOF-MS) (6). Most of the research regarding LALI was purely academic and performed between the late 1980s and early 1990s. At the time, cost and electronic limitations prohibited commercialization of LALI technology and other techniques took center stage. However, recent advances in computing technology and miniaturized, high-powered, solid-state lasers make LALI much more commercially viable today. Let’s take a closer look at its fundamental principles.
Basic Principles of LALI-TOF-MS
The first step of LALI uses a focused laser beam to ablate (or desorb) material from a solid sample surface. It utilizes a neodymium-doped yttrium aluminum garnet (Nd:YAG) laser with an adjustable laser wavelength. Depending on whether the application is characterizing atoms or molecules, the laser can be set to the fourth harmonic (266 nm) or fifth harmonic (213 nm) for ablation, or the fundamental 1064 nm wavelength for desorption. In a process exactly analogous to laser ionization mass spectrometry (LIMS) and laser induced breakdown spectroscopy (LIBS), the laser generates an initial set of ion or electron pairs from a temporal plasma, along with a neutral particle cloud that migrates in a direction that is normal to the sample surface.
A short delay of <1 µs allows plasma extinction and the dispersion of plasma-generated ions before a second Nd:YAG laser at 266 nm is triggered for ionization. As shown in Figure 1, the ionization laser is aligned parallel to the sample surface, and its beam is focused inside the neutral particle cloud. The focused beam from the ionization laser has an energy density >109 Watt/cm2, allowing for ionization of neutral particles via multiphoton ionization (MPI). MPI differs from resonant enhanced multiphoton ionization (REMPI), in that with MPI the laser is not tuned to a specific elemental or molecular frequency for ionization.
By ionizing elements across a wide range of ionization energies, MPI serves as a highly efficient ion source and replaces the Ar plasma of ICP instrumentation. Once ionized, an ion funnel collects and focuses the ions in a low pressure (0.2–0.3 mbar) environment. After exiting the ion funnel, a quadrupole ion deflector (QID) turns the ions 90o and directs the ion beam through an Einzel lens stack and a quadrupole to further improve the beam shape. After the transfer quadrupole, the technology is equipped with a notch quadrupole filter. For applications that require high sensitivity, the notch filter increases dynamic range by selectively reducing the signal of up to four different ion masses (typically the most abundant matrix elements). Ions are then transferred to the reflectron TOF mass spectrometer that completes the mass analysis.
Real-World Capability
To realize the real-world benefits of this technology, let’s examine the following application figures of merit compared to other solid sampling approaches: All data shown have been generated on the MassBox LALI-TOF-MS instrument
(Exum Instruments).
The figures we wish to examine include:
- detection capability
- matrix effects
- diffusion and transport
- spectral interferences
- ion transmission efficiency
- ability to characterize atomic and
- molecular species
- resolving power
- macro or micro analysis and
- imaging studies.
Detection Capability
Detection limits for LALI-TOF-MS are on average approximately 100–500x lower than those of either XRF or LIBS. Typical detection limits for the majority of elements by LALI are in the region of 0.01 µg/g (10 ppb) for solids, compared to approximately 1–10 µg/g (1–10 ppm) for XRF and 10–50 ppm for LIBS. The inherent limitation of both XRF and LIBS is that they rely on the generation of X-ray- and plasma-induced excitation, and, as a result, use the measurement of photons for quantification, limiting their practical detection capability, as shown in Figure 2.
LA-ICP-MS offers similar detection capability to LALI (and is slightly better for some elements) but suffers from two fundamental problems, thus limiting its suitability as a truly practical tool for a wide range of solid samples. The first major drawback of LA-ICP-MS is elemental fractionation, or the preferential sampling of analyte elements based on their physical size. As a result, the abundances of the ions detected after separation are not entirely representative of the composition of the original sample. Besides the ablation process itself, the transport of the aerosol particles from the ablation chamber at atmospheric pressure into the ICP are impacted by differences in gravitational settling effects between smaller and larger particles, together with vaporization, atomization, and ionization differences in the plasma (less efficient for larger particles). In addition, transportation of ions through the interface cones, into the ion optics, and into the mass separation device are also important contributors to these fractionation effects. As a result, LA-ICP-MS often struggles to ensure that the analyte ions being measured are truly representative of the analyte elements in the bulk material being sampled, meaning that matrix matching of standards with samples is absolutely critical (7). Furthermore, LA-ICP-MS requires two separate systems from different vendors; this can be challenging to the end user to create a fluid workflow. This leads to high costs of instrument acquisition, high consumable costs, and a non-trivial amount of time from analysis to quantification. Figure 2 shows color-contoured heat maps of detection limits for LALI-TOF-MS (top) compared to LA-ICP-MS, XRF, and LIBS (bottom). The darkest colors represent the lowest limits of detection and clearly show that LALI offers the best detection capability across the periodic table.
Matrix Effects
In XRF, the sample is irradiated with a beam of high-energy X-rays. As the excited electrons in the atom fall back to a ground state, they emit secondary X-rays that are characteristic of those elements present in the sample. Its inherent weakness lies in the fact that because the generation of secondary X-rays is dependent on the analyte–matrix bond, matrix-matched standards are a critical requirement for reliable quantification. So, for applications that require multielement measurements across a variety of different matrices, this is a well-recognized limitation of the XRF technique. On the other hand, LIBS uses plasma-generated photons produced by a combination of excitation and ionization from the laser, which are significantly affected by the matrix elements. LALI, however, has more efficient ionization and significantly lower matrix effects, making quantification more straightforward. LALI’s strength over LIBS is that the source ionizes gas-phase particles within the neutral particle cloud, instead of relying on plasma generated ions during ablation. As a result, the LALI particles in the neutral cloud are significantly less variable across different matrices. Ionization of neutral cloud material also results in stoichiometric accuracy, enabling quantification of a variety of sample matrices without the need for matrix-matched standards.
Diffusion and Transport of Ions
Another major advantage of the LALI design is that ionization occurs under vacuum in the sample chamber. It is a completely static system, held at high-vacuum (~10-7 mbar) in the TOF, and a pressure gradient to ~10-4 mbar in quadrupoles and the ion optics. The pressure in the LALI sample chamber is maintained at ~0.2–0.3 mbar with an inert helium cooling gas system. The low pressure of the ion source results in a significant improvement in sensitivity, because it greatly reduces losses associated with gas transport from atmospheric pressure to a vacuum system.
The removal of the plasma source also has the advantage that thermal emission of contaminant ions from the cones or injector is eliminated, greatly improving the ability to determine many of the volatile elements at both low and high masses, including Na (mass 23) and Pb (masses 204, 206, 207, and 208). Additionally, without a plasma source or any carrier gas, LALI does not rely on components with dynamic fluctuations, thus leading to long-term signal stability without requiring regular instrument tuning and calibration. Figure 3 shows the long-term stability of a suite of trace elements in a NIST 610 standard reference glass over a period of 8 h, with the precision (% RSD) of multiple measurements. Note that each of the three sets of data points (morning, afternoon, and night) represents an average of 1000 scans.
Spectral Interferences
Without an ICP source, the technique does not require a carrier gas, eliminating all polyatomic molecular interferences derived from argon. In addition, because there is very little opportunity for air entrainment inside the ionization chamber, all oxygen, nitrogen, and carbon-based polyatomic and isobaric interferences are drastically reduced. Elimination of these ionic species significantly improves the detection for a whole host of elements, including Si, S, Ca, Mg, Si, Cr, and Fe, which are traditionally problematic for ICP-MS. This is exemplified in Figure 4, which show a 0–130 amu scan of a high purity nickel certified reference material (IARM-191A, Analytical Reference Materials, Intl.). The major isotopes of nickel at masses 58, 60, 61, 62, and 64 amu are shown in the center of the scan, while zoomed sections are shown in the boxes. It can be seen that spectral peaks for the different isotopes of Mg, Si, S, Fe, Cr, Cu, Ca, Mo, and Sn are clearly being detected and measured at the low ppm level. It should also be emphasized that using an ICP-MS instrument, either as a solution technique or coupled with a laser ablation system, there would be large spectral overlaps from 12C12C on 24Mg; 14N14N on 28Si, 16O16O on 32S; 40Ar16O on 56Fe, 40Ar12C on 52Cr, and 40Ar on 40Ca. The green traces, which represent theoretical isotopic distributions, closely match the experimental results across the entire mass range, indicating that no such spectral overlaps are present.
To emphasize the purity of the elemental spectral fingerprints across the entire mass range, Figures 5a and 5b show a LALI mass spectrum of a NIST 610 standard reference glass. Figure 5a exemplifies a suite of transition elements in the spectral region 0–90 amu, free of the most common polyatomic and isobaric interferences, while Figure 5b shows some rare earth elements in the spectral region 90–220 amu, where doubly charged interferences are commonly observed. Theoretical isotopic distributions are shown in green.
–90 amu) of NIST 610 standard reference glass, with zoomed regions of specific elements highlighted; (b) LALI mass spectrum (90–220 amu) of NIST 610 standard glass, with zoomed regions of specific elements highlighted.
Ion Transport Efficiency
LALI also provides considerable improvements in transmission efficiency of an ion beam compared to techniques that generate ions at atmospheric pressure. For example, ions generated by the plasma discharge of an ICP-MS instrument at atmospheric pressure are generally transferred in several stages before reaching the high-vacuum mass analyzer. Each stage transition of cones and/or lenses removes a significant portion of ions. For instance, LA–ICP–MS has a very high ionization efficiency for elements with a first ionization potential (FIP) less than 8 eV, but only ~1 in every 105–106 ions reach the detector (~0.01–0.001% transmission efficiency). The LALI source is already under vacuum, so it does not suffer from transmission loss going from atmospheric pressure to vacuum. Removing the atmospheric or vacuum interface greatly improves transmission efficiency, allows for higher sensitivity, and further reduces matrix effects by removing plasma-ion spatial interaction effects.
Identification of Atomic and Molecular Species
LALI is capable of analyzing both inorganic and organic species, which is difficult to carry out with other techniques that suffer from the problems previously discussed (8). The ability to analyze organic compounds by LALI has been studied by many groups for applications including planetary missions and crude oil analysis (6,9). The analysis of organics utilizes the infrared (IR) component of the Nd:YAG laser (1064 nm). The intense IR pulse flash heats the sample (108 K/s) to desorb intact material from the sample surface (10). Following desorption, organic compounds are ionized via MPI, using the secondary ionization laser as previously described. The ability to analyze both organics and inorganics in the same analytical run enables mapping (or bulk characterization) of both in the same sample almost simultaneously after a quick mode switch. To enable accurate assessment and interpretation of molecular species, an optional high resolution TOF mass spectrometer with a resolving power of up to 14,000 is available.
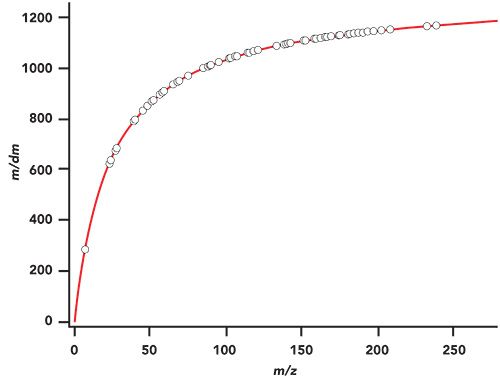
Resolving Power
LALI–TOF-MS is suited to many application areas by customizing the configuration of the mass spectrometer, based on the spectral demands of the analysis. Under normal conditions for carrying elemental analysis, the resolving power (m/dm) of the TOF mass spectrometer is in the order of 700–1100 (the range for quadrupole MS is typically 400–500). However, for characterizing molecular species, the resolving power can be increased from 7000 up to 14,000. Figure 6 is a plot of resolving power (as m/dm) against mass (m/z) for the typical configuration used for trace element analysis.
To demonstrate the practical benefits of resolving power, a spectral scan of five barium isotopes at 138, 137, 136, 135, and 134 amu using a resolving power of 750 is exemplified in Figure 7, showing the clean separation and the isotopic purity of the Ba isotopes (theoretical distribution of the isotopes is shown in green). A comparison of experimental vs. theoretical abundances for each of the isotopes is also shown, which demonstrates very good agreement, within experimental error.
Macro and Micro Analysis and Imaging Applications
This technology is well suited for both macro and micro analysis, together with laser imaging studies. This is exemplified in Figure 8, which shows the sample chamber opening to allow the sample tray to be loaded.
A macro-camera then opens to take a high-precision, spatially located picture. After the sample chamber door closes the chamber begins to pump down to vacuum, and the high-resolution image from the macro-camera is loaded onto the touch screen interface. The macro-image is used to enable navigation around the samples, as shown in Figure 9. Moving back and forth on the screen physically moves the sample stage within the chamber, and aligns the desired area properly with the lasers. “Pinching” on the image zooms in and switches to a live microscopy image that allows precision when choosing an area to analyze. From the live view, spots, lines, or rasters for maps are chosen. After selecting the type and number of sampling areas, analysis and data processing are automated, and all that remains is to interpret the results. This capability is well-suited for microanalysis of small surface inclusions, depth profiling analysis for coating thickness, or two-dimensional, high-spatial-resolution, multi-elemental mapping, rapidly becoming an important research tool in the field of geological, biological and medical imaging studies (11).
Summary
LALI-TOF-MS provides high specificity and high sensitivity quantitative analysis for both bulk and micro analysis, together with elemental and chemical mapping, without the need for complex quantification schemes or matrix-matched standard materials. The technique’s simple design enables field portability, and its easy-to-use, intuitive interface makes personnel and training requirements very straightforward. Together, these factors open a wide range of potential inorganic and organic application areas. As a result, this emerging technology is expected to have a large impact in the field of geological, metallurgical, petrochemical, agronomy, agricultural, biological, and cannabis studies.
References
- C.H. Becker and K.T. Gillen, J. Opt. Soc. Am. B 2, 1438 (1985).
- C.H. Becker and K.T. Gillen, Anal. Chem. 56, 1671–1674 (1984).
- G.R. Kinsel and D.H. Russell, J. Am. Soc. Mass Specrom. 6, 619–626 (1995).
- S.A. Getty et al., Rapid Commun. Mass Spectrom. 26, 2786–2790 (2012).
- P. Hurtado, F. Gamez, and B. Martinez-Haya, Energy Fuels 24, 6067–6073 (2010).
- H. Sabbah et al., Energy Fuels 26, 3521–3526 (2012).
- A. Limbeck et. al., Anal. Bioanal. Chem. 407(22), 6593–6617 (2015).
- B. Schueler and R.W. Odom, J. App.Phys. 61, 4652–4661 (1987).
- J.H. Hahn, R. Zenobi, and R.N. Zare, J. Amer. Chem. Soc. 109, 2842–2843 (1987).
- L. V. Vaeck and R. Gijbels, J. Anal. Chem. 337, 743–754 (1990).
- Y. Bussweiler, O. Borovinskaya, and M. Tanner, Spectroscopy 32(5), 14–20 (2017).
Robert Thomas is principal of Scientific Solutions, a consulting company that serves the application and writing needs of the trace element user community. He has worked in the field of atomic and mass spectroscopy for more than 40 years and has written over 100 technical publications including a 15-part tutorial series on ICP-MS. He recently completed his fourth textbook entitled Measuring Elemental Impurities in Pharmaceuticals: A Practical Guide, and is currently working on his next book project which focuses on heavy metals in cannabis and hemp. He has an advanced degree in analytical chemistry from the University of Wales, UK, and is also a Fellow of the Royal Society of Chemistry (FRSC) and a Chartered Chemist (CChem).
Jeffrey Williams drives both strategy and technical development as CEO of Exum Instruments. Before Exum’s conception, Jeff completed a Masters in Cosmochemistry from the University of New Mexico, where he realized that the world of analytical instrumentation was greatly lacking. As a result, he switched from research scientist to entrepreneur with a mission to develop tools that would redefine ease of use and real-world capability.
Jonathan Putman is the Application Manager and Senior Sales Engineer at Exum Instruments, Prior to joining Exum’s team, Jon spent the better part of a decade as an Analytical Chemist and PhD candidate at the National High Magnetic Field Laboratory at Florida State University, where he performed multidisciplinary research and method development using a wide range of analytical instruments and techniques..
Articles in this issue
over 5 years ago
Organic Nitrogen Compounds IX: Urethanes and Diisocyanatesover 5 years ago
Vol 35 No 5 Spectroscopy May 2020 Regular Issue PDFover 5 years ago
The Effect of High Pressure on Ascorbic Acid Structureover 5 years ago
2020 Review of New Spectroscopic InstrumentationNewsletter
Get essential updates on the latest spectroscopy technologies, regulatory standards, and best practices—subscribe today to Spectroscopy.
