Article
Spectroscopy
Spectroscopy
Author(s):
This introduction to two-dimensional correlation spectroscopy (2D COS) illustrates how to understand the structural changes occurring in polyester molecules in the fibers as they are annealed under tension.
Two-dimensional correlation spectroscopy (2D COS) is a well-developed technique for treating vibrational spectra, but it has not been extensively applied until now. The temperature-dependent spectra of polyester fibers that I showed recently have been subjected to 2D COS analysis. The results show that features that are not spectroscopically resolvable can be separated in the 2D COS analysis, and they also show the sequence of changes in the spectra. Ultimately, this characteristic enables teasing out of the structural changes occurring in the polyester molecules in the fibers as they are annealed under tension.
I am yet again going to use the spectra of fibers of polyethylene terephthalate (PET) to illustrate a new method to tease out the chemical or structural information from Raman spectra. As I said in my previous column on PET fibers (1), this material is used as an example to illustrate what information can be extracted from the spectra because we already understand a lot about what is happening. In this case, I am going to consider again the spectra of a fiber under tension that was exposed to temperatures approaching Tg, the glass transition temperature. In a previous installment (1), we showed that we could see spectral changes associated with conformational changes such as the gauche to trans conformational change in the glycol units, and the sharpening of the carbonyl band, which has often been associated with crystallization. What we will see here is a better separation of these phenomena, and more importantly the sequence at which they occurred. All of this is based on the methodology developed by Professor Isao Noda when he was characterizing polymers at Procter & Gamble, with continued developments since he has joined the Department of Materials Science and Engineering at the University of Delaware (2,3). Whereas initially the goal was to follow a given chemical species undergoing a perturbation, it became clear that when the species itself was evolving, even more information was accessible. Although this second formalism was developed to describe a system of chemical reactions (4), it is clear that the algorithms can be applied to describe polymers undergoing morphological changes. In the past it was assumed that the amorphous to crystalline transformation might be a fairly straightforward process; in fact, there can be multiple conformational changes in a polymer like PET that do not necessarily occur simultaneously, but all of which are changes that occur obligatorily before crystallization. This column offers a mini introduction to two-dimensional correlation spectroscopy (2D COS) to illustrate this behavior.
It is certainly beyond the scope of this column to provide a complete introduction to these methods, but I am going to attempt to offer an intuitive description of what Professor Noda has developed-enough for you to understand what we are saying, and to access the formal literature if you are interested (4).
Correlation Spectra
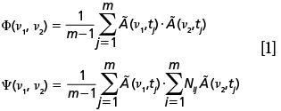
The idea of these methods is that one can perturb a sample systematically while recording its spectrum. Then by calculating the 2D correlation spectra you can plot the synchronous (coordinated) and asynchronous (sequential) variations of the spectral intensities. With some knowledge of band assignments, you can know something about how the molecule is changing. Before doing the calculations, the data are usually "mean centered", Ã(υj,tk), which means that A(withbar)(υj), the average spectrum (of all the perturbations) is subtracted from each spectrum where tk represents the kth iteration of the perturbation. The synchronous and asynchronous 2D correlation spectra are defined as

Click here to view full-size graphic
In the synchronous 2D spectrum Φ, at any υ1,υ2 combination, for each perturbation value tj, the spectral values at those wavelengths are multiplied and summed over all the tj's. In the asynchronous 2D spectrum, Ψ, the spectral value at υ1 is summed for all tj values, and the spectral value at υ2 is likewise summed over all ti values (first multiplying each off-diagonal term by Nij= 1/[π(j - i)], or 0 when i = j). The result is that in the synchronous spectrum the intensities at υ1 and υ2 are coordinated, with a positive value if the changes at the two wavelengths are in the same direction. If one is increasing while the other is decreasing, Φ(υi, υj) will be negative. In contrast, the out-of-phase or sequential changes in the asynchronous spectra will be used to determine the order in which the changes occur. So, if Φ(υ1, υ2) and Ψ (υ1, υ2) have the same sign, then the variation at υ1, occurs before that at υ2. In addition, if Ψ (υ1, υ2) = 0, then the intensities are synchronized, and if Φ(υ1, υ2) = 0, the sequential order cannot be determined.
Now we are going to show the results of these calculations on the ZZ spectra of a PET fiber whose temperature was controlled while fixed under tension in the Linkam tensile stage (Linkam Scientific).
As we discussed in a recent column (1), multiple changes are happening in PET as it is annealed. The sharpening of the carbonyl band accompanies crystallization, as do some changes in the region of the single bonds of the glycol linkage. But as we discussed earlier, these are really correlative changes rather than obligatory changes for crystallization. In conceptualizing the changes that occur I think of the polymer orienting, which we see in the polarization behavior of the Raman spectrum, and changes in bands in the single bond region of the glycol group as the disorder in the chain is converted to alignment of the molecular chains with conversion of gauche conformations to trans. We also have shown that sharpening of the carbonyl band is actually a result of the emergence of a new profile of bands as the material crystallizes. But does the sharpening of the carbonyl really reflect crystallization? Maybe it is necessary, but not sufficient. Crystallization means that the molecules align and pack into a lattice. Maybe the sharpening of the carbonyl reflects interactions with the aromatic ring or with neighboring carbonyl groups. 2D COS can begin to provide us insight. Ultimately to pin down the crystallization, we will need low frequency data as well as the fingerprint data that we show here. The low frequency data will come in a later installment.

Figure 1: ZZ polarized Raman spectra of a fiber of PET held in the Linkam tensile stage as the temperature was raised from 40 &3176;C (bottom) to 100 &3176;C (top), just above the glass transition temperature where the flexibility of some of the polymer's bonds increases. Spectra are displayed (a) with z displacement to evaluate which bands are changing and (b) overlapped to clarify the systematic changes.
Figure 2 shows the entire 2D COS plot of the spectra shown in Figure 1. The synchronous plot shows that there are correlations between almost all of the bands in the spectra. But the asynchronous plot shows more-selective interactions. To understand more fully what is going on we need to look at limited regions of these plots.

Figure 2: Synchronous (left) and asynchronous (right) plots of the 2D COS spectra of the ZZ spectra of the PET fiber perturbed as a function of temperature.
Figure 3a shows the 2D spectra between 1580 and 1780 cm-1, a region that covers the bands identified with the aromatic group and the carbonyl. In the synchronous plot all bands are increasing together because the ZZ intensities increase with orientation that is known to occur. However, the asynchronous plots show more complicated behavior that requires some discussion. The asynchronous plots in the aromatic and carbonyl regions are expanded in Figure 3b. The clear difference in shading demonstrates the difference in evolution of different components in each band. In the aromatic band it was not even clear that there is a second component unless you try to fit to a single Lorentzian Gaussian band. But looking at the asynchronous 2D correlation you can see two lobes, one positive and one negative, indicating that the component at 1613 cm-1 occurs later than the one at 1618 cm-1. In the carbonyl region there are bands at 1720 and 1739 cm-1 that behave differently from the band at 1728 cm-1. In fact, it is the band at 1728 cm-1 that grows as the Tg is approached. And because it is sharp, the entire envelope in the carbonyl region appears to sharpen.

Figure 3: (a) Synchronous (left) and asynchronous (right) plots of the 2D COS ZZ spectra between 1580 and 1780 cm-1 of the PET fiber perturbed as a function of temperature. (b) Asynchronous plots of the 2D COS ZZ spectra expanded from the right side of Figure 3b for the aromatic region (left) and the carbonyl region (right).
We can now look at the bands in the region of the C-C and C-O single bonds of the glycol unit. Figure 4 shows the spectra only in this region of the single bonds. We can list again the changes that are occurring in this region. The (unpolarized) band at 1030 cm-1 is replaced by a polarized band at 1000 cm-1, the 1093 cm-1 band is growing out of a shoulder on the 1118 cm-1 band, there is a hint of a band at 1084 cm-1 that grows and then diminishes, and the band at 1178 cm-1 broadens, probably because this band shifts frequency in the crystalline phase. We have chosen to focus on the bands between 1050 and 1150 cm-1 in the 2D COS spectra that are shown in Figure 5.

Figure 4: ZZ polarized Raman spectra of a fiber of PET held in the Linkam tensile stage as the temperature was raised from 40 &3176;C (bottom) to 100 &3176;C (top), just above the glass transition temperature where the flexibility of some of the polymer's bonds increase. Spectra are overlapped to emphasize the subtle changes that are occurring.
What may be even more enlightening is to compare the behavior in the carbonyl versus glycol regions of the spectra, the so-called hetero-mode correlations. The expansion of the asynchronous spectra in the 1615 versus 1100 cm-1 and 1730 versus 1100 cm-1 blocks from Figure 2 is shown in Figure 6. Note that both regions have positive and negative lobes. Can this behavior be attributed to changes in conformation at bonds, to orientational-induced changes in intensity, or to symmetry changes because of a change in state? At the present time we are unable to differentiate these possibilities, but what we want to say here is that the information provided has the capability to provide the correct choice of mechanism.

Figure 5: The synchronous (left) and asynchronous (right) bands in the region of the C-C and C-O single bonds. The synchronous spectrum show an increase in intensity of all bands, while the asynchronous spectrum shows that the component at 1094 cm-1 increases after the component at 1118 cm-1-that is, its intensity increases as the temperature is raised.
We have taken an available set of spectra and subjected them to analysis by 2D COS. We confirm the ability to determine bands that change together in the synchronous spectra (either growing or diminishing in parallel, or one band growing while the other diminishes), and the ability to determine which changes occur before others in the asynchronous spectra. We also see that spectral features that are difficult to differentiate (because of limitations in spectral resolution) are clearly visible in 2D COS. In combination with band assignments, one can now describe, in detail, the changes in the physical state of this polymer at the molecular level, which then can be used to understand changes in the physical characteristics of the polymer.

Figure 6: Asynchronous hetero-correlation spectra expanded from Figure 2. Single bonds versus aromatic band on left, single bonds versus carbonyl on the right.
(1) F. Adar, Spectroscopy 32(11), 14–22 (2017).
(2) I. Noda, Appl. Spec. 44(4), 550–561 (1990).
(3) I. Noda, A.E. Dowrey, and C. Marcott, Appl. Spec. 47(9), 1317–1323 (1993).
(4) I. Noda, Molecular Structure 1069, 50–59 (2014).
Fran Adar

Fran Adar is the Principal Raman Applications Scientist for Horiba Scientific in Edison, New Jersey. Direct correspondence to: SpectroscopyEdit@UBM.com.

Get essential updates on the latest spectroscopy technologies, regulatory standards, and best practices—subscribe today to Spectroscopy.