Article
Special Issues
Spectroscopy Supplements
Author(s):
The in situ combination of rheometry and Raman spectroscopy allows for real-time, synchronized measurement of both physical and chemical material properties.
The use of rheology and Raman spectroscopy in a coupled system for obtaining comprehensive insight into materials behavior is presented. Coupling rheology with Raman spectroscopy provides direct correlation of molecular composition and structure to the observed mechanical properties. The approach is extremely useful for studying phase transition behavior, such as the crystallization behavior of polymer melts during processing. It can also provide insight for in situ characterization and monitoring, which can be challenging when working with on-line techniques because only relative flow fields are characterized. Finally, the coupling of the two techniques gives researchers the advantage of maximizing and synchronizing the information gathered from a single measurement, as compared to sequential measurements, as well as enabling the observation of transient information on their materials during fast processing conditions. In this article, we present the experimental details of a rheo-Raman approach and then apply it to polymer melting.
Rheological measurements are used to study the bulk physical and mechanical properties of complex fluids and soft matter. Conversely, vibrational spectroscopy (like Raman) is a noninvasive diagnostic tool that provides chemical information such as chemical composition, molecular conformation, and bond disruption and formation-to name a few. Most commonly, these two analytical techniques are used ex situ, where rheology is used to measure or induce a physical material change (for example, melting, crystallization, gelation, polymerization, and chemical crosslinking) and chemical analysis is typically performed before and after the observed physical transformation. When applying these two techniques ex situ, however, the underlying chemical changes that are driving the observed physical change are left uncaptured, forcing researchers to speculate on the dynamic physicochemical relationships of their materials. In a recent paper, Kotula and colleagues (1) demonstrated the benefits of coupling a Raman microscope to a rheometer in studies of the recrystallization of high-density polyethylene.
The in situ combination of rheometry and Raman spectroscopy, termed a multimodal analysis, allows for real-time, synchronized measurement of both physical and chemical material properties. This in situ analysis also helps preserve sample fidelity; researchers no longer have to wonder if the sample they gathered from their rheometer and loaded into their spectrometer is a “true” representation of their material. In addition, the rheo-Raman approach reduces sample consumption (only one sample is needed for both physical and chemical analysis) and reduces analysis time (complete rheological information and full Raman spectra are collected in unison).
In this study, we use a combined rheo-Raman approach to investigate the temperature-dependent melting and crystallization of polypropylene as well as the isothermal crystallization process. The melt and crystalline phase transitions of polymeric materials are commonly correlated with variations in viscous and elastic behavior during rheological analysis. In addition, these phase transitions are often associated with molecular conformational changes during spectroscopic investigation. Measurements performed on separate instruments are often challenging to compare because of discrepancies in temperature control, slight deviations in sample composition, and differences in processing history. The in situ rheo-Raman technique, on the other hand, completely eliminates these discrepancies, allowing for a more valid physical and chemical analysis of the melt and crystalline phase transitions.
Materials
Polypropylene (Ineos Olefins and Polymers, USA, R12C-00 random copolymer) pellets were used for this study. The pellets were melted at 190 °C on the rheometer to form a continuous, disk-shaped specimen for testing.
Rheometer
Rheological measurements were performed using a Thermo Scientific HAAKE MARS III rheometer, equipped with a 20-mm-diameter stainless steel parallel-plate rotor. To extract viscoelastic behavior of the polypropylene, all measurements were conducted in the oscillatory mode. Oscillatory measurements were performed at 1 Hz with a constant strain of 0.1%, and data were collected every 15 s. To soften the polypropylene and help it conform to the measuring geometry, all samples were initially loaded at 190 °C. For the melt-to-crystallization phase transition study, the temperature was decreased from 190 °C to 30 °C, at a rate of 5 °C/min. For the isothermal crystallization studies at 138 °C and 150 °C, the temperature was rapidly decreased from 190 °C to 10 °C above the target temperature. The temperature was then slowly decreased until it reached the test temperature (either 138 °C or 150 °C). The temperature was then held constant for a maximum of 1 h (3600 s) while the isothermal recrystallization process was observed.
Spectrometer
Raman spectroscopy measurements were performed using a Thermo Scientific iXR Raman spectrometer. The Raman spectrometer used a 532-nm, 10-mW laser, a triplet spectrograph providing Raman spectra over the range 3500 to 50 cm-1 Raman shift (Stokes) at 5 cm-1 resolution, and a silicon charge coupled device (CCD) camera cooled to -50 °C. Alignment of the laser, Raman scatter, and aperture selection within the spectrometer were all software controlled. The minimum exposure collection time was 0.1 s. For the data presented here, the exposure collection time was 4 s and two sample exposures were averaged per spectra collection.
Rheo-Raman Coupling
The Raman spectrometer and rheometer were coupled together as shown schematically in Figure 1. The Raman spectrometer was free-space coupled to the rheometer with an optical train of two plane mirrors, which direct the laser light into the Thermo Scientific HAAKE RheoScope module in the base of the rheometer. Within the module, the laser beam was directed into a 20x objective, where the laser light was focused through a 2-mm-thick fused silica window into the sample (perpendicularly to the flow or vorticity plane). Raman scattered light was collected in 180° backscatter geometry using the 20x objective, and traveled back into the spectrometer through the same optical train as the incident laser, and eventually to the spectrograph inside the spectrometer. The Raman excitation laser wavelength can be changed to optimize the laser wavelength to the sample (785- and 455-nm laser sets are also available).
Figure 1: Schematic diagram of the optical coupling of a Raman spectrometer to a rheometer (showing side and top views of the rheometer sample stage). The Raman spectrometer is free-space coupled to the rheometer using plane mirrors that direct light into a 20x long-working-distance objective. The objective focuses the incoming laser (green dashed line) and collects the back-scattered Raman light (yellow) coming into and out of the sample (which sits atop the rheometer stage). The optical path from the spectrometer to the rheometer is enclosed in lens tubes (black). The optical slot in the bottom heating plate permits passage of the laser beam and scattered Raman light.

The sample was positioned between the silica window and the rotor geometry attached to the rheometer measuring head. The objective can be adjusted for interrogation at different penetration depths within the sample, as well as positioned at various radial locations (from the true center to outer edge of the sample). An electrical heating element was positioned below the fused-silica window to provide temperature control during testing. The electric heater allowed for a maximum temperature of 300 °C and a minimum temperature of -5 °C, with a maximum heating-cooling rate of 10 °C/min. An active electrical hood was also used to provide temperature control from above, eliminating the potential for a temperature gradient within the sample. Cooling was provided from a temperature-controlled circulator with 50:50 ethylene glycol–water. All instrumentation was controlled through Thermo Scientific OMNIC and RheoWin software.
The physicochemical relationships during polymer crystallization are of critical interest for the polymer processing industry. Representative Raman spectra for polypropylene across three different temperatures are shown in Figure 2. In general, the spectrum at 53 °C shows sharp peaks across the examined spectral range. These sharp spectral features suggest a high degree of conformational order, which is indicative of semicrystalline and crystalline structures. As the temperature was increased to 120 °C and 173 °C, these peaks began to broaden and merge together. The broadening of spectral peaks is commonly associated with melt behavior in polymeric materials.
Figure 2: Raman spectra for polypropylene at 53 °C (black), 120 °C (yellow), and 173 °C (blue). The dashed line at 808 cm-1 and dashed box from 3050 cm-1 to 2800 cm-1 indicate relevant Raman bands to the recrystallization of polypropylene.

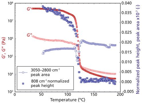
Specific indicators in the spectra for polypropylene are the intensities of the skeletal deformation of helical chains within the crystal (represented by 808 cm-1 peak) and the CH stretching region (characteristic of the 2800–3050 cm-1 spectral range). The intensity of the 808 cm-1 peak was used as a measure of the crystallinity of polypropylene (2), and the intensity in the CH stretching region was used as a measure of the overall Raman scattering intensity during the crystallization process. For further analysis, the 808 cm-1 peak height was normalized by the peak area between 880 and 780 cm-1, which contains skeletal chain vibrations of all conformations during the melting-recrystallization process (2). The spectral features in the 2800–3050 cm-1 range were integrated into a total peak area. These indicators (normalized helical chain vibration peak height and overall CH stretching peak area) were then tracked throughout the melt- to crystalline-phase transition, allowing for overlay with the in situ rheology data (Figure 3).
Figure 3: Polypropylene recrystallization: G’ and G” (filled and open circles, respectively; plotted on the left y-axis) and the 808 cm-1 Raman shift peak height and the 3050–2800 cm-1 peak area (filled and open squares, respectively; plotted on the right y-axis) as a function of decreasing temperature from 190 °C to 30 °C.

The melt and recrystallization process of polypropylene was probed rheologically using small amplitude oscillatory shear measurements (Figure 3), where the storage modulus (G′) and loss modulus (G′′) were measured as a function of temperature. G′ and G′′ are measures of a material’s elastic and viscous behavior, respectively. A liquid-like material will be more viscous than elastic (that is, viscously dominated), and as a result, G′′ will be greater than G′. Conversely, a solid-like material will display more elastic than viscous behavior (that is, elastically dominated), where G′ will be greater than G′′.
Initially, at high temperatures (>150 °C), G′′ was consistently greater than G′, signifying the polypropylene specimen was in the melt state (displaying liquid-like behavior). As the temperature was decreased from 150 °C to 100 °C, an abrupt and drastic increase in both G′ and G′′ was observed at ~125 °C. After the temperature had reached 100 °C, G′ had increased by four orders of magnitude, and G′′ increased by two orders of magnitude. The temperature range from 150 °C to 100 °C can be viewed as the melt-to-crystalline transition region for this polypropylene specimen. As the temperature was further decreased below 100 °C, G′ was significantly greater that G′′ (more than a full order of magnitude), indicating the polypropylene had transitioned into the semicrystalline or crystalline state (displaying solid-like behavior).
In addition, the observed plateau regions and increase in G′ and G′′ are in direct agreement with the Raman spectral data (Figure 3). In the melt region (~190–130 °C), the normalized 808 cm-1 peak height was near zero and unchanged by the decreasing temperature. However, as the polypropylene melt began to crystallize, the 808 cm-1 peak height significantly increased and was in unison with the abrupt increases in both G′ and G′′. Also, as the polypropylene sample started to crystallize, the total peak area of the CH stretching region decreased rapidly before any growth of the 808 cm-1 band was observed. The decrease in intensity in the 2800–3050 cm-1 spectral region is proposed to be caused by the formation of crystallites in the polypropylene matrix. Crystallites with dimensions on the same order of magnitude as the wavelength of the incident laser light (532 nm) would scatter light and as a result create an overall loss in the Raman signal, as shown in the intensity of the CH stretching bands. The minimum in the CH stretching profile was directly correlated with the observed crossover between G′ and G′′ and with maximum slope of the normalized 808 cm-1 peak profile, indicating that the crystallization rate was maximized when the crystallite concentration was greatest. After the observed decrease in intensity and as the crystallization process progressed, the integrated area of the CH stretching region returned to a value close to what was detected in the melt phase.
To further evaluate the crystallization process of polypropylene, isothermal crystallization studies were performed at 150 °C and 138 °C. The polypropylene samples were heated for a minimum of 5 min at 190 °C (to fully melt the specimen), rapidly cooled at 10 °C/min to 10 °C above the crystallization temperature, and then cooled at a slower rate of 2 °C/min until the set crystallization temperature was reached. The crystallization temperature was then held constant for a maximum of 1 h (3600 s) to observe the isothermal crystallization of polypropylene as a function of time. Simultaneous rheology and Raman spectroscopy data were captured in situ during crystallization at 138 °C and 150 °C (Figures 4 and 5, respectively). For both isothermal temperatures, the polypropylene material was initially viscously dominated G′ < G′′ (displayed liquid-like behavior). However, as time progressed, a crossover in G′ and G′′ was observed; where the moduli increased two to three orders of magnitude. The crossover at 138 °C occurred at 84 s into the isothermal curing process, while it took 2150 s for the crossover to be observed at 150 °C. Also, the observed plateau in G′ and G′′ at later times indicated that the crystallization process had stabilized and was complete.
Figure 4: Polypropylene isothermal recrystallization at 138 °C: G’ and G” (filled and open circles, respectively; plotted on the left y-axis) and the 808 cm-1 Raman shift peak height (filled squares; plotted on the right y-axis) as a function of time.

Figure 5: Polypropylene isothermal recrystallization at 150 °C: G’ and G” (filled and open circles, respectively; plotted on the left y-axis) and the 808 cm-1 Raman shift peak height (filled squares; plotted on the right y-axis) as a function of time.

Again, the simultaneous rheology and Raman data were in agreement during the isothermal crystallization studies (Figures 4 and 5). The observed increase in the elastic and viscous moduli (G′ and G′′, respectively) directly corresponds with the increase in the normalized 808 cm-1 peak height. It was similar to the observations in crystallization during the cooling measurement, in which a minimum in the intensity of the overall Raman spectrum was observed as the specimen transitioned from the liquid to the solid state (data not shown).
A combined rheology and Raman spectroscopy approach was used to analyze polypropylene during the melt-to-crystallization transition process. Combining rheological interrogation with in situ Raman spectral acquisition ensured the sample was exposed to identical experimental conditions (temperature, oscillatory deformation, and so forth) during data collection. This multimodal analytical method allowed the bulk structural properties of polypropylene to be directly correlated with real-time conformational changes at the molecular level. The data indicated that the rate of crystallization reached its maximum when the crystallite concentration was the greatest.
The observed correlation between the macroscopic and molecular level measurements exemplifies the unique analytical capability unleashed by combining rheology with Raman spectroscopy. Although this work focuses on the melting and crystallization of polypropylene, the underlying principles applied here should be applicable to a wide range of material processes including gelation, polymerization, curing behavior, and other shear-induced phenomena.
David Drapcho is a Product Manager with Thermo Fisher Scientific in Madison, Wisconsin. Jan Philip Plog is Group Leader Rheology Applications with Thermo Fisher Scientific in Karlsruhe, Germany. Nathan C. Crawford is a Rheology Applications Engineer with Thermo Fisher Scientific in Brighton, Colorado. Direct correspondence to: david.drapcho@thermofisher.com

Get essential updates on the latest spectroscopy technologies, regulatory standards, and best practices—subscribe today to Spectroscopy.