
The Quest for Universal Spectral Libraries: Standards, Metadata, and Machine Readability
Key Takeaways
- Standardizing spectral libraries and metadata is vital for reproducibility and data sharing in spectroscopy.
- Matrix notation and calibration transfer models aid in cross-instrument spectral data comparison.
This tutorial examines the development of universal spectral libraries, reviewing standardization efforts, mathematical frameworks, and practical examples across multiple spectroscopies, while emphasizing metadata harmonization, FAIR principles, and the emerging role of AI in building interoperable, machine-readable repositories. This remains an unsolved problem in spectroscopy.
Abstract
Spectral libraries are foundational resources in modern spectroscopy, supporting qualitative and quantitative applications in vibrational, electronic, and atomic methods. However, widespread variability in metadata practices and proprietary formats hampers reproducibility and data sharing. This article reviews the theoretical, practical, and institutional efforts to standardize spectral libraries and metadata. A formalism is introduced using matrix notation to represent spectral datasets and associated metadata, followed by models for calibration transfer across instruments and similarity evaluation. Reference to established standards such as Joint Committee on Atomic and Molecular Physical Data–Data Exchange format (JCAMP-DX), Analytical Data Interchange for Mass Spectrometry (ANDI-MS), and International Union of Pure and Applied Chemistry (IUPAC) data recommendations is provided. Examples highlight the challenges of spectral heterogeneity, metadata annotation, and interoperability. The discussion addresses future research directions, including ontology development, FAIR principles, and artificial intelligence (AI)-driven spectral data fusion.
1. Introduction
This tutorial explores the global effort to establish universal spectral libraries with transferable metadata standards. Although spectral databases have existed for decades, a lack of harmonization in file formats, metadata annotation, and instrument-specific calibration has limited their interoperability. This article reviews key initiatives from The International Union of Pure and Applied Chemistry (IUPAC), the National Institute of Standards and Technology (NIST), and the American Society for Testing and Materials (ASTM) International are key organizations that establish standards and nomenclature in science and industry., and commercial providers, highlights open standards such as JCAMP-DX and ANDI, and presents mathematical frameworks in matrix notation to describe spectral data exchange, calibration transfer, and similarity metrics. Practical examples from near-infrared (NIR), mid-infrared (MIR), Raman, and X-ray fluorescence (XRF) spectroscopy illustrate the challenges. We conclude with future perspectives on machine-readable metadata, Findable, Accessible, Interoperable, Reusable (FAIR) principles, and the role of artificial intelligence (AI) in creating universal spectral repositories.
Spectroscopy generates vast quantities of data across multiple modalities: vibrational (IR, NIR, Raman), electronic (UV-vis, fluorescence), and atomic (XRF, ICP-OES, ICP-MS). To ensure reproducibility and comparability, researchers have long sought universal spectral libraries. However, practical implementation has been hindered by:
- Diverse file formats: proprietary binary formats limit data sharing.
- Inconsistent metadata: experimental parameters (temperature, resolution, pathlength) may be missing or encoded differently.
- Calibration dependence: instrument-specific responses complicate direct comparison.
- Lack of ontologies: inconsistent chemical identifiers and vocabularies reduce interoperability.
Organizations such as IUPAC and NIST have made significant progress toward establishing standards. Formats such as JCAMP-DX (IUPAC endorsed), ANDI, and the ASTM standard for mass spectrometry (MS), demonstrate early attempts at machine-readable metadata integration. Despite this progress, a truly universal and transferable spectral library framework remains elusive.
2. Theoretical Framework
2.1 Representation of Spectral Data
A spectral dataset can be described as a matrix:
Where:
- n = number of spectra,
- m = number of wavelengths, wavenumbers, or channels,
- Xij = intensity of spectrum i at variable j.
Metadata are represented as a structured matrix:
Where each row corresponds to a spectrum in X, and columns represent metadata fields (instrument, resolution, sample ID, temperature, etc.).
Thus, a complete universal record is the pair:
This structure enables interoperability if metadata fields M follow consistent vocabularies and controlled ontologies.
2.2 Calibration Transfer Model
Instrumental variability leads to systematic deviations between instruments. If XA and XB represent spectra measured on instruments A and B, a transfer function can be expressed:
Methods such as direct standardization (DS) and piecewise direct standardization (PDS) approximate T by regression of standard sample sets (1).
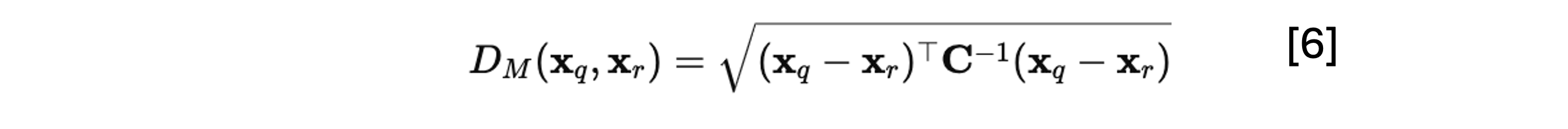
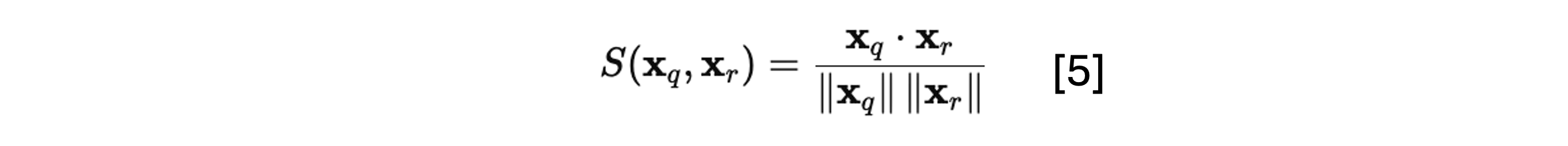
2.3 Spectral Similarity Metrics
Library search relies on similarity metrics between a query spectrum xq and a reference spectrum xr. In matrix form:
- Cosine similarity:
- Mahalanobis distance (incorporating covariance):
Where C is the covariance matrix estimated from the library.
These metrics require standardized preprocessing (for example, normalization, baseline correction, and so forth) to ensure comparability.
3. Practical Standards and Metadata Initiatives
3.1 JCAMP-DX (IUPAC)
JCAMP-DX (Joint Committee on Atomic and Molecular Physical Data–Data Exchange) is an ASCII-based, human- and machine-readable format (2). It supports vibrational spectroscopy (IR, NIR, Raman) and includes metadata fields for conditions, instrument parameters, and sample identifiers.
Example snippet:
##TITLE= Sample Spectrum
##XUNITS= Wavenumber (cm-1)
##YUNITS= Absorbance
##NPOINTS= 1024
Its widespread adoption illustrates the importance of metadata-rich, open text formats.
3.2 ANDI (ASTM E1947)
For MS and chromatography, ANDI was developed under the guidance of ASTM International (3). It uses NetCDF structures to encode multidimensional data (for example, time, m/z, intensity) with metadata annotations.
3.3 FAIR Principles and Ontologies
The FAIR data principles guide modern data sharing (4). For spectroscopy, FAIR implementation requires:
Persistent identifiers (PIDs): These are long-lasting, unique codes assigned to digital objects—such as chemical substances, datasets, or publications—to ensure they can be reliably referenced and accessed over time. Examples include:
- InChI (IUPAC International Chemical Identifier): A standardized textual identifier developed by the International Union of Pure and Applied Chemistry (IUPAC) that encodes a chemical substance’s structure into a unique, machine-readable string.
- PubChem CID (Compound Identifier): A unique numerical identifier assigned to a chemical compound in the PubChem database, maintained by the U.S. National Center for Biotechnology Information (NCBI).
Ontologies for controlled vocabularies: These are structured, standardized collections of terms and their defined relationships used to describe data consistently and unambiguously across databases and research contexts. Examples include:
- CHMO (Chemical Methods Ontology): A controlled vocabulary that describes analytical, synthetic, and characterization methods used in chemistry, enabling consistent data annotation and integration.
- ChEBI (Chemical Entities of Biological Interest): An ontology that classifies and describes chemical compounds based on their structures, functions, and biological roles, widely used in bioinformatics and cheminformatics.
Metadata standards for instruments and conditions: These are structured frameworks that define how essential details about analytical equipment, measurement parameters, and experimental environments are recorded and shared. They ensure consistent documentation of factors such as instrument type, calibration status, acquisition settings, sample preparation, and environmental conditions, enabling reproducibility, interoperability, and accurate comparison of data across laboratories and studies.Note that machine-readable metadata ensures automatic library integration across disciplines.
3.4 Case Examples
- NIR spectroscopy: Calibration transfer between benchtop and handheld devices relies on PDS and standardized metadata.
- Raman libraries: Identification of pharmaceuticals requires metadata for laser wavelength, power, and integration time.
- XRF libraries: Quantitative databases depend on sample matrix annotations and reference standards traceable to NIST SRMs.
These cases highlight the dependency of library usability on metadata richness and transferability. Note that spectral measurements across NIR, MIR, Raman, and UV-vis techniques are typically stored as arrays of intensity values as a function of wavelength or wavenumber. A common representation is a vector of absorbance values, which provides a direct mapping between the measured signal and chemical information (5).
4. Examples and Applications
4.1 NIR Calibration Transfer
Given a master calibration model:
The accuracy of predictions depends critically on metadata consistency (such as resolution, wavelength alignment).
4.2 Hyperspectral Imaging (HSI)
In HSI, metadata also includes spatial dimensions. The dataset becomes a tensor:
With nx, ny as spatial coordinates, and m as spectral variables. Metadata standards for HSI remain underdeveloped, limiting cross-instrument comparison. So in this expression:
Xis a 3D hyperspectral data cube.
It has nxpixels across, nypixels down, and m spectral variables at each pixel.
Each entry Xi,j,k represents the intensity value at pixel location (i,j)in the image at the k-th wavelength.
5. Discussion and Future Research
Universal spectral libraries require convergence in file formats, metadata, and ontologies. Current limitations include:
- Incomplete metadata (for example, sample preparation, instrument configuration).
- Lack of cross-domain interoperability between vibrational, electronic, and atomic spectroscopies.
- Proprietary data silos restricting access.
Future research directions include:
- Ontology development: formal chemical and spectral ontologies linked to persistent identifiers.
- Metadata automation: instrument software should automatically capture complete acquisition parameters.
- AI integration: deep learning models could align heterogeneous datasets and impute missing metadata.
- FAIR compliance audits: community-driven validation of library compliance with FAIR.
- Blockchain traceability: ensuring provenance and authenticity of spectral entries.
Ultimately, a universal spectral library would accelerate cross-disciplinary applications, from pharmaceutical quality assurance to environmental monitoring and forensic science.
References
(1) Wang, Y.; Veltkamp, D. J.; Kowalski, B. R. Multivariate Instrument Standardization. Anal. Chem. 1991, 63 (23), 2750–2756. DOI:
(2) McDonald, R. S.; Wilks, P. A. JCAMP-DX: A Standard Form for Exchange of Infrared Spectra in Computer Readable Form. Appl. Spectrosc. 1988, 42 (1), 151–162. DOI:
(3) ASTM International. ASTM E1947-98(2014): Standard Specification for Analytical Data Interchange Protocol for Chromatographic Data; ASTM International: West Conshohocken, PA, 2014. DOI:
(4) Wilkinson, M. D.; Dumontier, M.; Aalbersberg, I. J.; Appleton, G.; Axton, M.; Baak, A.; Blomberg, N.; et al. The FAIR Guiding Principles for Scientific Data Management and Stewardship. Sci. Data 2016, 3, 160018. DOI:
(5) Workman, J.; Weyer, L. Practical Guide and Spectral Atlas for Interpretive Near-Infrared Spectroscopy 2nd Edition; CRC Press: Boca Raton, FL, 2012. DOI:
_ _ _
This article was partially constructed with the assistance of a generative AI model and has been carefully edited and reviewed for accuracy and clarity.
Newsletter
Get essential updates on the latest spectroscopy technologies, regulatory standards, and best practices—subscribe today to Spectroscopy.





