
Baseline and Scatter: Correcting the Spectral Chameleons
Key Takeaways
- Spectroscopic data distortions from baseline drifts and scatter effects hinder accurate interpretation and calibration.
- Traditional methods like MSC, SNV, and EMSC effectively address scatter and baseline issues in spectroscopy.
This tutorial explains how baseline drift and multiplicative scatter distort spectroscopic data, reviews correction techniques such as MSC, SNV, EMSC, wavelet-based detrending, and AsLS baseline estimation with matrix-based derivations, and explores emerging data-driven scatter modeling strategies and future research directions.
Abstract
Spectroscopic data frequently suffer from systematic distortions arising from baseline drifts, particle size effects, and multiplicative scatter phenomena. All three of these distortions are non-chemical artifacts and fall under the umbrella of physical scattering phenomena. These distortions obscure chemically relevant information and complicate calibration transfer across instruments, samples, and conditions. Traditional approaches such as multiplicative scatter correction (MSC), standard normal variate (SNV), and extended MSC (EMSC) have provided robust tools for mitigating scatter effects, while modern methods—including wavelet-based techniques, asymmetric least squares (AsLS) baseline correction, and hybrid machine learning (ML)-based scatter modeling—are extending capabilities (1–5). This tutorial reviews the mathematical underpinnings of these correction methods, providing detailed equations in matrix notation, and highlights their applications in near-infrared (NIR), infrared (IR), Raman, and other spectroscopy domains. Implications for calibration robustness, model bias, and overfitting are discussed here in detail.
1. Introduction
Spectroscopic methods are widely employed in chemistry, biology, pharmaceuticals, environmental monitoring, and industrial quality control. Baseline drift and multiplicative scatter introduce significant distortions into spectroscopic data, complicating both qualitative interpretation and quantitative calibration. Raw spectra often exhibit baseline drift and scatter effects due to instrumental, environmental, or sample-related factors. In near-infrared (NIR) and Raman spectroscopy, for example, particle size variation, sample packing, and matrix inhomogeneities can introduce multiplicative and additive distortions that obscure the true analyte signal. See, for example,
Accurate preprocessing and correction are therefore essential for reliable chemometric modeling. This tutorial explores the mathematical theory and practical implications of baseline and scatter correction methods, from classical approaches to modern innovations.
2. Theoretical Background and Classical Corrections
2.1 Multiplicative Scatter Correction (MSC)
MSC was introduced to correct both additive and multiplicative scatter effects in diffuse reflectance spectra. The method assumes that each measured spectrum can be approximated as a linear transformation of an ideal reference spectrum (7).
Let the measured spectrum be denoted as a vector.
and the reference spectrum as:
Where n is the number of wavelengths. The relationship is modeled as:
2.2 Standard Normal Variate (SNV)
SNV is a spectrum-specific transformation that removes scatter by centering and scaling each spectrum individually (8).
SNV requires no reference spectrum and is especially useful for heterogeneous samples.
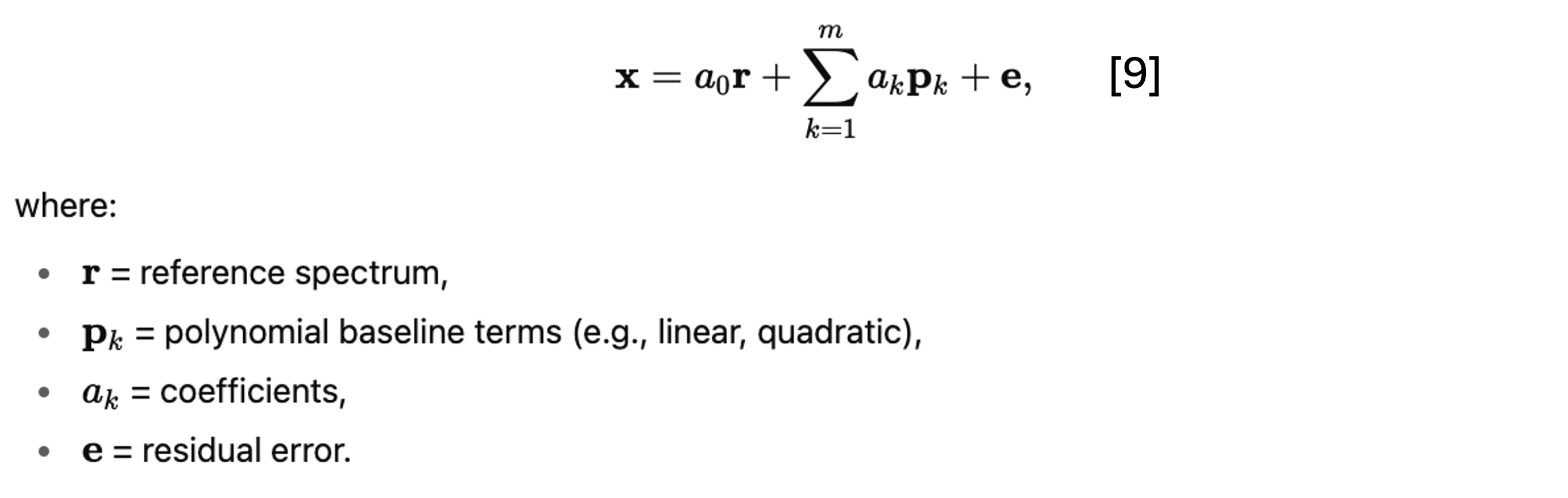
2.3 Extended Multiplicative Scatter Correction (EMSC)
EMSC generalizes MSC by modeling the measured spectrum as a combination of reference spectra, polynomial baseline trends, and possible interferents (9).
In matrix form:
Thus, EMSC simultaneously handles scatter, baseline drift, and known interferences.
3. Modern Approaches to Baseline and Scatter Correction
3.1 Wavelet-Based Correction
Wavelet transforms decompose spectra into approximation and detail components at multiple scales. Baseline drift is primarily contained in low-frequency approximations, while analyte-related signals appear in higher-frequency details. Subtracting approximations or applying thresholding enables baseline correction without distorting chemical peaks (10).
3.2 Asymmetric Least Squares (AsLS) Baseline Correction
AsLS estimates the baseline as a smooth function penalizing positive and negative residuals differently (11).
The optimization problem is:
This allows flexible adaptation to nonlinear baselines.
3.3 Data-Driven Scatter Modeling
Recent advances incorporate statistical and machine learning models:
- PCA-based scatter modeling: separates scatter-related variance (first PCs) from chemically relevant variance.
- CNN-based correction: convolutional filters learn scatter patterns directly from raw spectra, enabling nonlinear correction.
These methods extend correction beyond linear assumptions but risk overfitting.
4. Discussion and Future Research
Baseline and scatter correction methods remain central to preprocessing in spectroscopy. MSC, SNV, and EMSC provide interpretable and computationally efficient corrections, while wavelet- and AsLS-based approaches better handle nonlinear baselines. Data-driven methods are promising but require careful validation.
Baseline and scatter correction remain unsolved problems in spectroscopy because they sit at the intersection of complex physical phenomena, incomplete models, trade-offs in signal preservation, and practical limitations in calibration transfer. While existing methods mitigate many effects, none are universally effective, robust, or interpretable across all spectroscopic applications.
Future directions include:
- Hybrid physical-statistical models combining radiative transfer theory with machine learning (ML).
- Transfer learning for correction models, enabling robust application across instruments.
- Adaptive correction algorithms that adjust to sample heterogeneity in real-time.
Balancing correction strength against preservation of chemically relevant variance (net analyte signal) remains the key challenge.
Dive into our
Beyond Linearity: Identifying and Managing Nonlinear Effects in Spectroscopic Data Data Fusion in Action: Integrating Different Vibrational and Atomic Spectroscopy Data Demystifying the Black Box: Making Machine Learning Models Explainable in Spectroscopy
References
(1) Martens, H.; Næs, T. Multivariate Calibration; Wiley: Chichester, 1992.
(2) Geladi, P.; Kowalski, B. R. Partial Least-Squares Regression: A Tutorial. Anal. Chim. Acta 1986, 185, 1–17. DOI:
(3) Rinnan, Å.; van den Berg, F.; Engelsen, S. B. Review of the Most Common Pre-Processing Techniques for Near-Infrared Spectra. TrAC, Trends Anal. Chem. 2009, 28 (10), 1201–1222. DOI:
(4) Eilers, P. H. C.; Boelens, H. F. M. Baseline Correction with Asymmetric Least Squares Smoothing. Preprint 2005.
(5) Afseth, N. K.; Segtnan, V. H.; Wold, J. P. Raman Spectra of Biological Samples: A Study of Preprocessing Methods. Appl. Spectrosc. 2006, 60 (12), 1358–1367. DOI:
(6) Workman, J., Jr. Specificity and the Net Analyte Signal in Full-Spectrum Analysis. Spectroscopy 2025, 40 (7), July 21. DOI:
(7) Isaksson, T.; Næs, T. The Effect of Multiplicative Scatter Correction (MSC) and Linearity Improvement in NIR Spectroscopy. Appl. Spectrosc. 1988, 42 (7), 1273–1284. DOI:
(8) Barnes, R. J.; Dhanoa, M. S.; Lister, S. J. Standard Normal Variate Transformation and De-Trending of Near-Infrared Diffuse Reflectance Spectra. Appl. Spectrosc. 1989, 43 (5), 772–777. DOI:
(9) Afseth, N. K.; Kohler, A. Extended Multiplicative Signal Correction in Vibrational Spectroscopy: A Tutorial. Chemom. Intell. Lab. Syst. 2012, 117, 92–99. DOI:
(10) Hoang, V. D. Wavelet-Based Spectral Analysis. TrAC, Trends Anal. Chem. 2014, 62, 144–153. DOI:
(11) Peng, J.; Peng, S.; Jiang, A.; Wei, J.; Li, C.; Tan, J. Asymmetric Least Squares for Multiple Spectra Baseline Correction. Anal. Chim. Acta 2010, 683 (1), 63–68. DOI:
_ _ _
This article was partially constructed with the assistance of a generative AI model and has been carefully edited and reviewed for accuracy and clarity.
Newsletter
Get essential updates on the latest spectroscopy technologies, regulatory standards, and best practices—subscribe today to Spectroscopy.





