
Wavelet Denoising Algorithm Based on Improved Threshold Function for Methane Detection Using TDLAS
Key Takeaways
- TDLAS technology for methane detection benefits from wavelet denoising with an improved threshold function, enhancing signal-to-noise ratio and accuracy.
- The VisuShrink wavelet denoising algorithm, optimized with sym10 wavelet bases and six decomposition layers, shows superior performance.
Discover how an improved wavelet denoising technique enhances methane detection accuracy in TDLAS systems, optimizing signal quality and reducing noise.
In the methane concentration detection system based on tunable diode laser absorption spectroscopy (TDLAS) technology, the quality of the second harmonic signal demodulated by phase-locked amplification directly affects the final methane detection accuracy. A wavelet denoising technique based on an improved threshold function is suggested for methane detection systems to reduce noise effectively, and the wavelet bases and decomposition layers are optimized. The absorption spectra and amplitude fitting curves of the second harmonic signal of methane before and after the noise reduction of different concentrations are simulated, and the goodness of fit R2 reaches 0.991. MATLAB simulation studies verify the superiority of the improved threshold function over the soft and hard threshold functions. Build a methane concentration detection system based on TDLAS and conduct second harmonic signal acquisition and noise reduction processing experiments. The residual analysis findings demonstrate that the wavelet denoising technique, when combined with the improved threshold function suggested in this research, may effectively suppress the influence of noise on the second harmonic signal, hence increasing the accuracy of the TDLAS-based methane detection system.
Tunable diode laser absorption spectroscopy (TDLAS) for methane concentration detection is affected by other noises, such as environmental, optical, and electronic noises, resulting in a low signal-to-noise ratio (S/N) of the second harmonic signal of methane (1–4). Therefore, the second harmonic signal in the TDLAS system needs to be noise-reduced to improve the S/N of the second harmonic signal of methane and the system detection accuracy (5). Considering the aspect of improving the S/N, common noise reduction methods mainly include hardware noise reduction and software noise reduction; hardware noise reduction often needs to increase the devices or change the original system structure, while software noise reduction methods only need to improve the program without adding other optical and electrical devices.
In the research of software-based noise reduction methods, various techniques have been proven to effectively process noise in signals. For example, Liu and associates (6) used the Gabor transform to improve the resolution of infrared spectra while removing random noise. Wang and coauthors (7) applied singular value decomposition (SVD) to denoise vibration signals in rotating machinery, significantly improving the signal-to-noise ratio. Yang and associates (8) studied the least mean squares (LMS) algorithm to address complex noise issues in oceanic hydrophone signals. However, due to the small amplitude and high real-time performance requirements of methane second harmonic signals, TDLAS noise reduction faces new challenges. The Gabor transform proposed by Cui and coauthors (9) and the singular value decomposition matrix analysis method proposed by Wang and colleagues (10) can improve the S/N in TDLAS noise reduction, but the computational complexity is high, which consumes a large amount of computational resources, and may lead to poor real-time performance. Qi (11) and Song and associates (12) have found that the LMS adaptive filtering algorithm can reproduce the ideal signal in the noise, but the algorithm itself converges slowly, the parameter selection is difficult, and sensitive to nonlinear noise. Li and colleagues (13) verified that wavelet denoising is more effective in suppressing noise than either averaging or low-pass filtering, but however did not propose improvements to the wavelet threshold function.
This paper selects the VisuShrink wavelet denoising algorithm. VisuShrink has better adaptivity in wavelet denoising compared to Rigsure, heursure, sqtwolog, and minimaxi algorithms, and it can better distinguish between noise signals and useful signals. To maximize the retention of useful signals while suppressing noise, an improved threshold function wavelet denoising algorithm is suggested in this article. The wavelet denoising algorithm with an improved threshold function is applied to simulation and system experiments, and it is verified that the algorithm has a better denoising effect on the methane absorption signal and the methane second harmonic signal.
Principle and Analysis of Wavelet Denoising Algorithm
Principle of Wavelet Denoising Algorithm
The signal generates high-frequency and low-frequency wavelet coefficients after being denoised using wavelets. The noise's wavelet coefficients are less than the signal's wavelet coefficients as a result of wavelet decomposition. Denoising is accomplished by choosing an appropriate threshold, which causes wavelet coefficients less than the threshold to be discarded as noise and those bigger than the threshold to be regarded as generated by the signal and kept (14).
Analysis of Wavelet Denoising Algorithm with Improved Threshold Function
Most of the second harmonic signals in TDLAS systems are interfered with noise signals, resulting in burrs or distortions. 1/f noise in photodetectors, a low-frequency noise, is present in almost all detection devices and can be removed by wavelength modulation techniques and harmonic detection. Residual amplitude modulation noise is mainly because the wavelength of the laser and the power of the laser do not change at the same time, and there is a phase difference between them related to the modulation frequency, which needs to be further filtered out by algorithms (15–17). The wavelet transform itself has strong decorrelation and data filtering ability, through the decomposition and reconstruction, and thus realizes the noise reduction.
In the actual methane absorption signal, the second harmonic signal noise reduction, the most commonly used, is the threshold noise elimination method, the method of the signal estimation effect mainly depends on the selection of the threshold function. Some of the valuable information will be removed if the threshold is set significantly higher; extraneous noisy information will be kept if the threshold is set significantly lower. The hard threshold function's conventional mathematical expression is given by equation 1.
The soft threshold function is expressed mathematically as equation 2:
This thresholding formula was invented by Donoho (18), and the threshold λ is the upper limit of the optimal threshold, which is to a large extent the upper limit of the noise is lower than this value, so that the thresholds of each layer can be freely set according to the characteristics of the signal. The o in equation 4 is denoted as:
Although both hard threshold and soft threshold methods can achieve good results when applied to the noise reduction of methane second harmonic signals, in practice, the hard threshold is prone to result in discontinuity at the threshold due to its inherent defects, leading to degradation in the quality of the reconstructed signal (19,20). Although the soft threshold method has a better overall continuity, making the denoised signal relatively smooth, it can easily cause errors when reconstructing. The wavelet thresholding noise reduction algorithm is mainly aimed at the defects of the soft and hard threshold function. The threshold function embodies different processing strategies for wavelet coefficients above or below the threshold, and it is the most critical part of the wavelet threshold denoising algorithm in the improved and improved use. Better denoising results from an improved threshold function that is roughly continuous, falls between hard and soft thresholds, and does not have a constant deviation issue. Furthermore, the original signal may be extracted more successfully because the threshold function more closely resembles the characteristics of the corresponding wavelet coefficients of the usable signal and the noise signal. This work aims to tackle the problems with both soft and hard thresholds in signal noise cancellation by optimizing the threshold function. Equation 6 illustrates the improved results:
Simulation Analysis and Parameter Selection
Wavelet Base Selection
For selecting the most appropriate wavelet bases for denoising the second harmonic signal of methane, haar, sym, db, coif, and bior type wavelet bases are experimentally analyzed. The S/N after noise reduction is calculated based on the proposed improved threshold function, and the optimal wavelet base is selected based on the S/N as an evaluation rule. The second harmonic signal of methane is emulated by adding Gaussian white noise, with the S/N of the noise-containing signal being 20 dB. The S/N values after noise reduction for each wavelet basis are as follows: 22.67 dB for the haar wavelet, 28.95 dB for the sym10 wavelet, 28.13 dB for the db4 wavelet, 28.53 dB for the coif5 wavelet, and 27.70 dB for the bior2.4 wavelet. Among them, the sym10 wavelet has the best denoising effect on the second harmonic signal of methane. Therefore, the subsequent experiments use the sym10 wavelet as the wavelet basis of the thresholding algorithm.
Decomposition Layer Selection
For selecting the most suitable decomposition layers for denoising the second harmonic signal from methane, the experiments were established based on the preferred sym10 wavelet base for the number of decomposition layers, as concluded from previous analyses. The selection criteria were based on observing the S/N after denoising. As the number of decomposition layers increases, the S/N initially increases and then declines. Specifically, the S/N values for different decomposition layers are as follows: 25.49 dB for 3 layers, 28.44 dB for 4 layers, 28.49 dB for 5 layers, 31.60 dB for 6 layers, 30.94 dB for 7 layers, and 29.17 dB for 8 layers. This trend occurs because an insufficient number of decomposition layers results in incomplete signal denoising and an unsatisfactory denoising impact. Although more decomposition layers can improve the denoising effect, an excessive number of decomposition layers can reduce signal strength by erasing useful information. From the experimental results, it can be observed that the highest S/N is achieved when the number of decomposition layers is 6. Therefore, six decomposition layers are used in the subsequent experiments.
Simulation Analysis of New Threshold Function Filtering Effect
Methane concentration detection is investigated using a TDLAS-based technique to verify the filtering effectiveness of the proposed novel threshold function. Through the Matlab simulation platform, wavelet denoising is performed using a sym10 wavelet base with 6 decomposition layers. The simulation is based on the HITRAN database, and the 1653.72 nm absorption peak position is chosen to simulate the normalized absorption Lorentz linear function at standard atmospheric pressure and temperature.
First, a 5kHz high-frequency modulated sine wave is superimposed onto a 10Hz low-frequency scanning sawtooth wave as the ideal signal. Where the period of the sine wave is 400 times the sampling period, the sum of the random noise signal and the superimposed Gaussian white noise is used as the noise signal. The wavelet soft threshold function, hard threshold function, and improved threshold function are used to denoise the methane detection signal, respectively. Table I lists the S/N, normalized cross-correlation (NCC), and mean square error (MSE) of the second harmonic signal of methane after the denoising of the undenoised and wavelet transform (with different threshold functions).
The improved threshold function's denoising effect is superior to that of the hard threshold function, as evidenced by the denoising effect diagram above. Additionally, the improved threshold function's oscillation is lessened after denoising, preventing the error caused by the large-scale oscillation and improving the denoising effect. The improved threshold function, when compared to the soft threshold function, overcomes the fixed deviation brought on by the denoising of the former. The S/N, NCC, and MSE are optimized after processing by the wavelet denoising algorithm, which is predicated on the improved threshold function. This demonstrates that the wavelet denoising technique with an improved threshold function may meet the need for increased detection accuracy while also enhancing the signal quality in the detection of methane concentration.
Simulation Analysis of Second Harmonic Denoising Effect
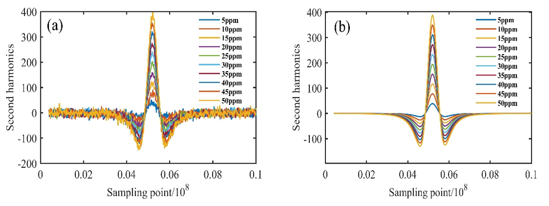
Based on the above parameter selection and analysis results, the improved threshold function, Sym10 wavelet base, and six decomposition layers were selected for the simulation experiments, and the methane gas concentration from 5 to 50 ppm was investigated at 101 KPa standard atmospheric pressure and 20 °C temperature. The second harmonic absorption spectra of methane before and after denoising are shown in Figure 1, and Figure 2 shows the linear fitting of the methane concentration and the second harmonic absorption intensity according to the least-squares method, with the fit R2 of 0.978 before noise reduction and R2 of 0.991 after noise reduction. The goodness-of-fit test refers to the statistical test of whether the observed value conforms to a certain distribution, and the closer the R2 is to 1 indicates a regression straight line, which is the specific error distribution, and is a better fit to the observed value. It is obvious that the wavelet denoising algorithm with an improved threshold function is a better fit for the methane absorption concentration and second harmonic amplitude.
System Construction and Experimental Verification
TDLAS technology is based on the molecular absorption spectroscopy theory and the Lambert-Beer law (21). The laser can be controlled to scan specific spectral bands by temperature and current tuning, the drive current in addition to the use of sawtooth wave current tuning in addition to the superimposition of a high-frequency sinusoidal current modulation, with a lock-in amplifier for the demodulation of the residual intensity of the electrical signal, and demodulation out of the fundamental harmonic or high-frequency harmonic is transmitted to the microprocessor to analyze the concentration of the target gas. In order to verify the accuracy of the above analysis conclusions, a methane concentration detection system with TDLAS technology was built. The system mainly includes a laser driver module, a distributed feedback (DFB) butterfly laser, a gas chamber module, a silicon photodiode, a current-to-voltage (I/V) conversion module, a lock-in amplifier, and a TMS320F28335 microprocessor. The DFB laser is adjusted by the driver module in terms of temperature and current, and outputs the optical signal to the 10m gas absorber cell. The methane gas, after being irradiated by the near-infrared light with a wavelength of 1653.72 nm, undergoes a molecular vibration energy level jump. The residual light signal is received by the detector, which converts the light signal into a current signal, and after the I/V conversion module, the current signal is converted into a voltage signal and sent to the lock-in amplifier by low-pass filtering. After phase-locked demodulation, the second harmonic signal is collected by the TMS320F28335 microprocessor, and the collected signal is further processed by a wavelet denoising algorithm, with improved threshold and amplitude information is obtained. The system is built as shown in Figure 3.
Based on the experimental system built above, the second harmonic signals of methane absorption spectra were acquired by selecting methane standard gas with concentrations of 100 ppm and 1000 ppm at one standard atmospheric pressure and a temperature of 25 °C, controlling the driving current of the laser at 90 mA and the driving temperature of the laser at 39 °C. The second harmonic signal of methane was denoised by using MATLAB software, and the experimental results are shown in Figure 4. The current research presents residual analysis as an evaluation tool, specifically the variance between the original signal and the denoised signal, to validate the effectiveness of the denoising process. The residuals' plotted histogram demonstrates that the residuals' shape approximates a normal distribution and displays center symmetry, suggesting that the noise has been efficiently eliminated. The mean and median almost overlap and are close to the 0 line. This indicates that the data structure of the useful signal is not destroyed after processing by the wavelet denoising algorithm with an improved threshold function. The histogram of residuals is shown in Figure 5.
Conclusion
An improved threshold function is proposed with the goal of addressing the issue of noise interference causing the second harmonic signal of methane during the TDLAS methane detection procedure. By avoiding the inherent flaws with both soft and hard threshold functions, this function can improve the signal's accuracy and dependability following denoising. The MATLAB experimental simulation environment was used to find the ideal wavelet bases and decomposition layers. After modeling and evaluating the spectra and amplitude fitting curves of the second harmonic signals corresponding to different methane concentrations before and after the noise reduction, the goodness of fit R2 is 0.991. The construction of an experimental system utilizing TDLAS technology for the objective of measuring methane concentration results in the extraction of the second harmonic signals of methane. The residual analysis of these signals, both prior to and following denoising, is in accordance with the normal distribution law. The effectiveness of the suggested wavelet transform denoising technique with an improved threshold function in reducing noise interference has been confirmed. It offers a solid foundation for the ensuing inversion of methane concentration.
Funding
This work was supported by the Major Innovation Project of Science and Education Integration Pilot Project of Qilu University of Technology (Shandong Academy of Sciences), (2023JBZ02, 2023HYZX01, 2023JBZ03); Scientific and Technological Innovation projects for Laoshan Laboratory (LSKJ202204700, LSKJ202204603); National Key R&D Program of China (2021YFB3901300); Qingdao Natural Science fund (23-2-1-211-zyyd-jch).
Disclosures
All authors have no conflicts of interest.
References
- Zhou, W.; He, Z. Q.; Qi, R. B.; et al. Measurement of Ammonia Leakage by TDLAS in Mid-Infrared Combined with an EMD-SG Filter Method. Spectroscopy 2024, 40 (4),19–25. DOI:
10.56530/spectroscopy.np8890u3 - Li, J. S.; Yu, B. L.; Fischer, H. Wavelet Transform Based on the Optimal Wavelet Pairs for Tunable Diode Laser Absorption Spectroscopy Signal Processing.Appl. Spectrosc.2015,69, 496-506.DOI:
10.1366/14-07629 - Meng, Y. X.; Liu, T. G.; Liu, K.; et al.A Modified Empirical Mode Decomposition Algorithm in TDLAS for Gas Detection. IEEE Photonics J.2014, 6 (6), 1-7.DOI:
10.1109/jphot.2014.2368785 - Gao, Z. L.; Ye, W. L.; Zheng, C. T.; et al.Wavelet-Denoising Technique in Near-Infrared Methane Detection Based on Tunable Diode Laser Absorption Spectroscopy. Optoelectron. Lett. 2014, 10 (4), 299-303. DOI:
10.1007/s11801-0.14-4057-z - Wang, F.; Jia, S. H.; Wang, Y. L.; et al.Recent Developments in Modulation Spectroscopy for Methane Detection Based on Tunable Diode Laser. Appl.Sci. 2019, 9 (14), 2816. DOI:
10.3390/app9142816 - Liu, X. H.; Li, S. S.; Liu, H.; et al. Infrared Spectrum Resolution Enhancement Model via Gabor Transform Regularization for Object Detection. Infrared Phys Techn. 2024, 141, 105441. DOI:
10.1016/j.infrared.2024.105441 - Wang, Q. H.; Wang, L. J.; Yu H. T.; et al. Utilizing SVD and VMD for Denoising Non-Stationary Signals of Roller Bearings. Sensors. 2021, 22 (1), 195. DOI:
103390/s22010195 - Yang, Z. D.; Huo, L. S.; Wang, J. K.; et al. Denoising Low SNR Percussion Acoustic Signal in the Marine Environment Based on the LMS Algorithm. Measurement. 2022, 202, 111848. DOI:
10.1016/j.measurement.2022.111848 - Cui, H. B.; Yang, K.; Zhang, L.; et al.Tunable Diode Laser Absorption Spectroscopy (TDLAS) Detection Signal Denoising Based on Gabor Transform. Spectrosc. Spectral Anal. 2016, 36 (9), 2997-3002. DOI:
10.3964/j.issn.1000-0593(2016)09-2997-06 - Wang, Z.; Wang, Y.; Zhang, R.; et al.A Singular Value Decomposition Method for Tunable Diode Laser Absorption Spectroscopy System to Remove Systematic Noises. Spectrosc. Spectral Anal.2016, 36 (10), 3369-3376. DOI:
10.3964/j.issn.100-0593(2016)10-3369-08 - Qi, G. Y.; Zhao, Z. M; Zhang, R.; et al.Optimized VMD Algorithm for Signal Noise Reduction Based on TDLAS. J. Quant. Spectrosc. Radiat. Transf.2024, 312, 108807.DOI:
10.1016/j.jqsrt.2023.108807 - Song, F.; Zheng, C. T.; Yan, W.H.; et al.Performance Enhancement of Methane Detection Using a Novel Self-Adaptive Mid-Infrared Absorption Spectroscopy Technique.IEEE Photonics J. 2018, 10 (6), 1-12. DOI:
10.1109/jphot.2018.2882391 - Li, C. L.; Guo, X. Q.; Ji, W. H.; et al.Etalon Fringe Removal of Tunable Diode Laser Multi-Pass Spectroscopy by Wavelet Transforms.Opt. Quantum Electron.2018, 50, 1-11. DOI:
10.1007/s11082-018-1539-4 - Zheng, C. T.; Ye, W. L.; Huang, J. Q.; et al. Performance Improvement of a Near-Infrared CH4 Detection Device Using Wavelet-Denoising-Assisted Wavelength Modulation Technique. Sens. Actuators B Chem. 2014, 190, 249-258. DOI:
10.1016/j.snb.2013.08.055 - Tong, C.; Sima, C. T.; Chen, M. Q.; et al.Laser Linewidth Analysis and Filtering/Fitting Algorithms for Improved TDLAS-Based Optical Gas Sensor. Sensors. 2023, 23(11), 5130. DOI:
10.3390/S23115130 - Mao, M. H.; Chang, J.; Sun, J. C.; et al.Research on VMD-Based Adaptive TDLAS Signal Denoising Method. Photonics. 2023,10 (6), 674. DOI:
10.3390/photonics10060674 - Jiang, J. G.; Hu, J. K.; Jiang, C. L. Research on Portable Methane Telemetry System Based on TDLAS. In International Conference on Artificial Intelligence and Communication Technology. 2023, 195-206.
- Donoho,D. L. De-Noising by Soft-Thresholding. IEEE Trans. Inf. Theory. 1995, 41(3), 613-627. DOI:
10.1109/18.382009 - Dong, W. H.; Chen, C.; Li, Z.; Wang, Y. Z.A Wide Range Measurement of Methane Using Single Saturated Absorption Spectral Line Concentration Measurement Method. IEEE Trans. Instrum. Meas. 2023. DOI:
10.1109/TIM.2023.3336451 - Xiao, L.; Dong, M. R.; Wei, N.; et al.Time-to-Frequency Conversion Method for Tunable Diode Laser Absorption Spectrum. Optik2022, 270, 170049. DOI:
10.1016/j.ijleo.2022.170049 - Swinehart, D. F. The Beer-Lambert Law. J. Chem. Educ. 1962, 39 (7), 333. DOI:
10.1021/ed039p333
He Han, Jingru Wang, Yang Wang, Haikuan Ma, Fengqing Liu, Yang Gao, Xiangfeng Kong, and Yan Liu are with the Institute of Oceanographic Instrumentation, at Qilu University of Technology (Shandong Academy of Sciences), in Qingdao, Shandong, China. Xuan Cao, Jingru Wang, Yang Wang, Ma, Liu, Gao, Kong, and Liu are with the Laoshan Laboratory in Qingdao, Shandong, China. Direct correspondence to:
Newsletter
Get essential updates on the latest spectroscopy technologies, regulatory standards, and best practices—subscribe today to Spectroscopy.





