
- July/August 2025
- Volume 40
- Issue 6
- Pages: 12–15
Tip-enhanced Raman Scattering Using a Chemically-Modified Tip
Key Takeaways
- TERS combines scanning probe microscopy and surface-enhanced Raman scattering for nanoscale resolution, applicable in diverse environments.
- Chemically modified TERS tips enhance sensitivity and selectivity, enabling nanoscale pH measurement and enantiomer discrimination.
In this tutorial article, Yukihiro Ozaki explores the recent advancements and broadening applications of tip-enhanced Raman scattering (TERS), a cutting-edge technique that integrates scanning probe microscopy (SPM) with surface-enhanced Raman scattering (SERS).
Tip-enhanced Raman scattering (TERS), a technique that combines the advantages of scanning probe microscopy (SPM) and surface-enhanced Raman scattering (SERS), has recently been a matter of great interest because it provides site-specific information on a nano- to subnano-scale, with spatial resolution beyond the diffraction limit of light (1,2). TERS can be performed in various environments, such as ambient air, ultrahigh vacuum (UHV), solutions, and electrochemical environments. TERS has been applied in many ways (1.2), including few- or single-molecule studies, mechanistic studies of biological molecules, carbon nanotube and graphene characterization, and TERS imaging.
We proposed chemically modified TERS tips with various probe molecules to improve their sensitivity, selectivity, and stability during liquid phase measurements (2-4). These tips were, for example, employed for nanoscale pH measurement in solutions (3) and chirality discrimination using TERS (4).
Nanoscale pH Measurement in Solutions by Chemically Modified Tips
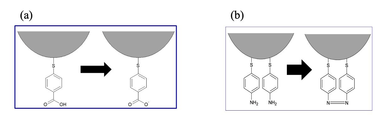
Using p-mercaptobenzoic acid (pMBA) and p-aminothiophenol (pATP) molecules attached to the tip, we measured the local pH profile in nanoscale near an amino-group-modified surface, revealing a local increase in pH due to water dissociation and an exponential decay with distance (3). This technique may allow researchers to probe pH in biological samples and investigate other solution-based properties using various tip-modifying molecules.
Figure 2 shows pH-dependent variations of TERS spectra collected from a pMBA-modified TERS tip. Two strong peaks at 1586 and 1079 cm−1 are due to ring-breathing modes, while weak peaks at 1422 and 1370 cm−1 are assigned to the stretching modes of the carboxylate (−COO−) group. Figure 3 plots the ratio of two peak areas at 1422 and 1586 cm−1 versus the solution pH. In the pH range of 1−6, the peak area shows only a slight change since all pMBA molecules attached to the tip contain mainly a −COOH group. The ratio starts to increase drastically when the pH is in the range of 7−9. It suggests that the proton dissociation of pMBA (−COOH to −COO−) occurs in this pH range. Above pH 10, the ratio is constantly around 0.23, indicating that most of the molecules possess the −COO− moiety. The proton dissociation constant (Ka) of pMBA can also be determined as 𝐾𝑎=1.41×10−8 from Figure 3.
In this way, the pMBA-modified tip is sensitive to pH 7–9, where the molecular structure transforms from –COOH to –COO-. On the other hand, the pATP-modified tip can determine pH 1–2 due to the 4,4′-dimercaptoazobenzene (DMAB) formation. It was found that the acidity/alkalinity of the surface can be determined at <200 nm for the pMBA-modified tip, and the spatial resolution for the pH measurement is around 200 nm.There is a possibility to modify a TERS tip with other molecules to determine other properties in solutions.
Discrimination Between Enantiomers Achieved by TERS with Chemically-Modified TERS Tips
Molecular chirality is a prominent characteristic of biological processes, and enantiomers of a chiral molecule may exhibit striking differences in terms of physiological responses. We demonstrated discrimination between enantiomers using TERS with chemically modified TERS tips (4). Differences in the relative intensities of the pMPY spectra were monitored for three pairs of enantiomers containing hydroxy (-OH) and/or amino (-NH2) groups.
Figure 4 shows normalized TERS spectra of (A) a pMPY-modified tip and a pMPY-modified tip immersed in (B) (R)- and (C) (S)- 2-amino-1-propanol (2AP). Bands at 1612 and 1578 cm-1 are due to C-C stretching modes with protonated and deprotonated nitrogen, respectively. Before immersion, the relative intensity of the 1612 cm-1 band is significantly stronger than that at 1578 cm-1, indicating that phenyl rings with the protonated nitrogen are major. However, the relative intensity of these two bands changes largely upon immersion; in both pMPY-modified tips immersed in (R)- and (S)- 2AP, the deprotonated nitrogen is major. Of particular note is that the TERS spectra of the pMPY-modified tips immersed in (R)- and (S)- 2AP are markedly different, revealing that discrimination between the two enantiomers is achieved by TERS with a chemically modified tip. Similar results of enantiomer discrimination were also obtained for 2-octanol and α-methylbenzylamine.
We considered the mechanism of enantiomer discrimination by TERS as follows. The N: or N+-H functionality of the pMPY-modified tip participates in hydrogen-bond interactions with a particular molecular orientation of each chiral isomer. The asymmetric arrangement of silver atoms at the apex of the tip induces an asymmetric electric field, which causes the tip to become a chiral center. Differences in the CT states of the metal-achiral probe system, in conjunction with the asymmetric electric field, produce different enhancements in the Raman signals of the two enantiomers (CT mechanism). Note the chirality of the chemically modified tip itself.
In summary, TERS with tailored chemical modification was proposed to measure pH nanoscale pH measurement in solutions and to distinguish the enantiomers. CT transition of pMPY-Ag complex can encourage the slight difference in the electronic structure two complexes of enantiomers through the preferred hydrogen bonding interaction. This chemically modified TERS tip method offers the full extent of potential applications, particularly TERS measurement in liquid.
References
(1) Itoh, T.; Procházka, M.; Dong, Z.-C.; Ji, W.; Yamamoto, Y. S.; Zhang, Y.; Ozaki, Y. Toward a New Era of SERS and TERS at the Nanometer Scale: From Fundamentals to Innovative Applications. Chem. Rev. 2023, 123, 1552–1634. DOI: 
(2) Pienpinijtham, P.; Ozaki, Y. In Surface- and Tip-Enhanced Raman Scattering Spectroscopy; Prochazka, M., Kneipp, J., Zhao, B., Ozaki, Y., Eds.; Springer: 2024; p 117. DOI: 
(3) Pienpinijtham, P.; Vantasin, S.; Kitahama, Y.; Ekgasit, S.; Ozaki, Y. Nanoscale pH Profile at a Solution/Solid Interface by Chemically Modified Tip-Enhanced Raman Scattering. J. Phys. Chem. C 2016, 120, 14663–14668. DOI: 
(4) Sukmanee, T.; Wongravee, K.; Kitahama, Y.; Ekgasit, S.; Itoh, T.; Pienpinijtham, P.; Ozaki, Y. Distinguishing Enantiomers by Tip-Enhanced Raman Scattering: Chemically Modified Silver Tip with an Asymmetric Atomic Arrangement. Angew. Chem., Int. Ed. 2020, 59, 14564–14569. DOI: 
About the Author
Articles in this issue
2 months ago
Carbon Structure and Raman SpectroscopyNewsletter
Get essential updates on the latest spectroscopy technologies, regulatory standards, and best practices—subscribe today to Spectroscopy.





