
Special Issues
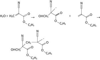
This article investigates Raman imaging for the study of the reaction process involved in the curing of cyanoacrylate adhesives.

Special Issues
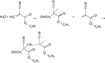
This article investigates Raman imaging for the study of the reaction process involved in the curing of cyanoacrylate adhesives.

Special Issues
The needs of the lithium-ion battery customers can be segmented into in situ and ex situ modes of analysis. In situ analysis allows researchers to follow changes in a battery cell during its charge and discharge cycles.

Special Issues
Full and detailed characterization of pharmaceutical formulations is required before the release of new drugs.

Special Issues
Carbon black is a form of amorphous carbon. It is mainly used as reinforcement filler in automobile tires and other rubber products, but it's also used in pigments, paint, and carbon paper.

Special Issues
In this article, we describe the key factors that influence the overall size of a spectrometer, such as the diffraction grating groove density and detector size. Furthermore, we demonstrate compact Raman spectrometer designs as small as 30 mm × 30 mm in footprint by using highly dispersive gratings and uncooled detectors.

Special Issues
Click the title above to open the Spectroscopy June 2015 Raman Technology Supplement, Vol 30 No s6, in an interactive PDF format.